广东省—级《计算机应用(MS Office 2016)》

全套视频讲解点击进入
广东省计算机一级PPT专题:插入图表
5、[插入公式]请打开C:kaoshi pt26000981 pptx演示文稿,完成以下操作: ( 没有要求操作的项目请不要更改)
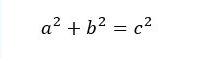
A.在第1张幻灯片中插入一个数学公式勾股定理,内容如下图所示;
B.保存文件。


5、[插入公式]请打开C:kaoshi pt26000981 pptx演示文稿,完成以下操作: ( 没有要求操作的项目请不要更改)
A.在第1张幻灯片中插入一个数学公式勾股定理,内容如下图所示;
B.保存文件。

扫码打开当前页


扫一扫加我微信,发你题库


关注免费提醒报名、考试时间
之前