计算机二级MS最难的一套题,今年考试很多同学卡在这套题
(1)某带链栈初始状态为top=bottom=NU,经过一系列正常的入栈 与退栈操作后,top=10, bottom=20。 该栈中的元素个数为:
◎A)不确定
◎B) 10
◎C) 1
◎D) 0
[正确答案] A
[解析]对于链栈而言,使用了链表来实现栈,链表中的元素存储在不连续的地址。所以当top=10,bottom=20时, 不能确定栈中的元素个数,所以选项A正确。
(2)设表的长度为15。则在最坏情况下,快速排序所需要的比较次数为:
◎A) 105
◎B) 55
◎C) 15
◎D) 75
[正确答案] A
[解析]假设线性表的长度为n,在最坏情况下,快速排序法的比较次数是n(n-1)/2。题中n=15,所以15*14/2=105。 所以选项A正确。
(3)设循环队列的存储字(为10),初始状态为空。现经过一系列正常操作后,font14,, 则循环队列中的元素个数为:
A)不确定
◎B) 49
◎C) 51
◎D) 50
[正确答案]A
能错定?静比用,01存放其元素值已知其头尾指针分别是ror Rcr则当前队列的元素个数是cor to0700愿题目中管r的值未知,所以循环以列中的元素个数不
能确定。所以选项A正确。
(4)某完全二叉树按层次输出(同-层从左到右)
的序列为ABCDEFCH.该完全二又树的中序列为:
◎A) HDBEAFCG
◎B) HDEBFGCA
◎C) ABDHECFG
◎D) ABCDEFGH
[正确答案] A
【解析】完全二叉树的特点是除最后一层外,每一层上的节点数均达到最大值;在最后一层上只缺少右边的若干结点。根据上述特点,完全二叉树按层次输出(同一层从左到右)的序列为ABCDEFGH。可以得到其结构如下:

所以此完全二叉树的中序序列是HDBEAFCG。所以选项A正确。
(5)下面对软件描述错误的是:
◎A)文档是不可执行的
◎B)程序和数据是可执行的
◎C)软件是程序、数据及相关文档的集合
◎D)软件文档是与程序开发、维护和应用无关的资料
[正确答案] D
[解析]计算机软件(Software) 是指计算机系统中的程序及其文档,程序是计算任务的处理对象和处理规则的描述;文档是为了便于了解程序所需的阐明性资料。因此选项D正确。
(6)某系统总体结构如下图所示,该系统结构图的最大扇出数是:

◎A) 1
◎B) 2
◎C) 3
◎D) 5
[正确答案] c
[解析]扇出指的是由一个模块直接调用的其它模块数。题干中“某系统”和“功能2”这两个模块,其扇出数目都为3大于其它模块的扇出数。故选项C正确。
(7)下面属于软件工程三要素的是:
◎A)方法、工具和过程
◎B)方法、工具和平台
OC)方法、工具和环境
◎D)工具、平台和过程
[正确答案] A
【解析】软件工程包括三个要素:方法、工具和过程。
软件工程方法为软件开发提供了“如何做”的技术。它包括了多方面的任务,如项目计划与估算、软件系统需求分析、数据结构、系统总体结构的设计、算法过程的设计、编码、测试以及维护等。软件工具为软件工程方法提供了自动的或半自动的软件支撑环境。目前,已经推出了许多软件工具,这些软件工具集成起来,建立起称之为计算机辅助软件工程(CASE)的软件开发支撑系统。CASE将各种软件工具、开发机器和一个存放开发过程信息的工程数据库组合起来形成一个软件工程环境。软件工程的过程则是将软件工程的方法和工具综合起来以达到合理、及时地进行计算机软件开发的目的。过程定义了方法使用的顺序、要求交付的文档资料、为保证质量和协调变化所需要的管理、及软件开发各个阶段完成的里程碑。因此应选择选项A。
(8)在数据库中存储的是:
◎A)数据的操作
◎B)数据模型
◎C)操作信息
◎D)数据以及数据之间的联系
[正确答案] D
【解析】数据库里存放的是一些元数据的东西,比如很多表,表中有数据字段,表与表之间有关系,最终表存放到表空间中,而表空间存放在操作系统的文件系统中。所以选项D正确。
(9)将数据库的结构划分成多个层次,是为了提高数据库的:
◎A)数据共享
◎B)数据处理并发性
◎C)管理规范性
◎D)逻辑独立性和物理独立性
[正确答案] D
【解析】将数据库的结构划分成多个层次,是为了提高数据库的逻辑独立性和物理独立性。数据逻辑独立性:当模式改变时,由数据库管理员对各个外模式/模式映象作相应改变,可以使外模式保持不变。应用程序是依据数据的外模式编写的,从而应用程序不必修改,保证了数据与程序的逻辑独立性,简称为数据逻辑独立性。数据物理独立性:当数据库的存储结构等内模式改变了,由数据库管理员对模式/内模式映象作相应改变,可以使模式保持不变,从而应用程序也不必改变。保证了数据与程序的物理独立性,简称为数据物理独立性。所以选项D正确。
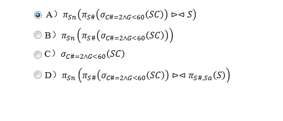
(10)定义学生选修课程的关系模式如下:
S(S#,Sn,Sd,Sa)(其属性分别为学号、姓名、所在系、年龄);
C(C#,Cn,P#)(其属性分别为课程号、课程名、先选课);
SC(S#,C#,G)(其属性分别学号、课号和成绩)。
检索选修了课程号为2且成绩不及格的学生的姓名的表达式是:

[正确答案] A
【解析】首先对关系SC(S#,C#,G)以课号C#=2并且成绩G小于60分为条件作选择运算,得到课号C#=2并且成绩G小于60分的记录,然后再与学生S(S#,Sn,Sd,Sa)关系作自然连接运算,对运算结果在学号列作投影运算,再在学生姓名列作一次投影运算,得到选修了课程号为2且成绩不及格的学生的姓名。所以选项A正确。



