计算机二级真题考试题库,考试题库下载
(1)下列叙述中正确的是: .
◎A)解决一个问题可以有不同的算法,且它们的时间复杂度可以是不同的
◎B)解决一个问题可以有不同的算法,但它们的时间复杂度必定是相同的
◎C)解决一个问题的算法是唯一-的
◎D)算法的时间复杂度与计算机系统有关
[正确答案] A
[解析]算法的时间复杂度和问题有关系,因为一个问题很有可能有许多类算法,但是它们的时间复杂度不同,如排序问题就有10种左右算法,它们复杂度显然是不-样的。所以选项A正确。
(2)设表的长度为n。下列查找算法中,在最坏情况下,比较次数最少的是:
◎A)有序表的二分查找
◎B)顺序查找
◎C)寻找最大项
◎D)寻找最小项.
[正确答案] A
[解析]有序表的二分法查找只适用于顺序存储的有序表。二分查找的基本方法是:将被查元素x与线性表的中间项进行比较,若中间项的值等于x,则说明查到;若小于中间项的值则在线性表的前半部分以相同的方法进行查找;若大于中间项的值则在线性表的后半部分以相同的方法进行查找。在最坏情况下,二分查找需要比较log2n次。顺序查找、寻找最大项、寻找最小项,在最坏情况下,比较次数都是n次。所以选项A正确。
(3)某带链栈的初始状态为top=bottom=NULL,经过一系列正 常的入栈与退栈操作后,top=bot tom=20。该栈中的元素个数为:
◎A) 1
◎B) 0
◎C) 20
◎D)不确定
[正确答案] D
[解析]对于链栈而言,使用了链表来实现栈,链表中的元素存储在不连续的地址。所以当top=bot tom=20时,不能确定栈中的元素个数。所以选项正确。
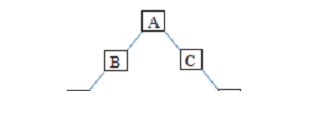
(4)某二叉树的前序序列为ABDFHCEG,中序序列为HFDBACEG。该二叉树的后序序列为:
◎A) HFDBGECA
◎B) ABCDEFGH
◎C) HGFEDCBA
◎D) ACEGBDFH .
[正确答案]A
[解析]由于二叉树的前序序列ABDFHCEG,可以确定这个二叉树的根结点是A。再由中序序列HFDBACEG,可以得到,HFDB为A的左子树,CEG为A的右子树。同理依次对左子树HFDB和右子树CEG进行同样的推理,得到这个二叉树的结构如下:

(5)下面对软件特点描述正确的是:
◎A)软件具有明显的制作过程
◎B)软件不具有抽象性
◎C)软件是一种逻辑实体而不是物理实体
◎D)软件的运行存在磨损和老化问题
[正确答案] c
[解析]计算机软件的特点:软件是由- -个人或许多人共同完成的高强度智力劳动的结晶,是建立在知识、经验和智慧基础.上的具有独创性的产物,是一种逻辑实体, 具有抽象性。由于软件具有独创性(即原始性),所
以软件著作权人对软件产品依法享有发表权、开发者身份权、使用权、许可权、获得报酬权以及转让权;软件产品是无形的,即没有质量,也没有体积及其他物理性质,它只收藏在某种有形的载体中,如磁盘等介质,而
且是通过该载体进行交易;软件产品的复制(批量生产)是极其简单的,其复制成本同其开发成本相比较,几乎可以忽略不计;软件产品维护同硬件产品维护的含义有明显差别。软件几乎不存在有形损耗,但存在无形损
耗。所以应选选项C。
(6)某系统总体结构如下图所示,该系统结构图的最大扇入数是:
◎A) 2
◎B) 3
◎C) 4
◎D) 5

[正确答案] A
[解析]系统结构图的最大扇入数指该模块在结构图中的直接上层模块数,扇出是该模块在结构图的直接下层模块数。在题目中的“功能2. 2.2”模块,它的扇入数为2,所以这个系统结构的最大扇入数为2。所以选项A正确。
(7)结构化程序设计风格强调的是:
◎A)程序的易读性
◎B)程序的执行效率
◎C)不考虑goto语句的限制使用
◎ D)程序的可移植性
[正确答案] A
[解析]结构化程序设计强调“清晰第一, 效率第二”,清晰的含义是程序易读性好。所以选项A正确。
(8)数据模型包括数据结构、数据完整性约束和:
◎A)查询
◎B)数据类型
◎C)关系运算
◎D)数据操作
[正确答案] D
[解析]数据模型包括数据结构、数据操作和数据完整性约束。所以选项D正确。
(9)一名舞工可以使用多台计算机。 每台许算机可由多名员工使用。 则实质工和计算氧闯的联系限
◎A)多对多
◎B)一对多
◎C)一对一
◎D)多对一
[正确答案] A
【解析】一名员工可以使用多台计算机,每台计算机可由多名员工使用,则实体员工和计算机间的联系是多对多。所以选项A正确。
(10)定义学生选修课程的关系模式如下:
S(S#,Sn,Sd,Sa)(其属性分别为学号、姓名、所在系、年龄);
C(C#,Cn,P#)(其属性分别为课程号、课程名、先选课);
SC(S#,C#,G)(其属性分别学号、课号和成绩)。
检索选修课程名为“操作系统”的成绩在90分以上(含90分)的学生姓名的表达式是:

[正确答案] A
【解析】首先对C(C#,Cn,P#)关系在以课程名Cn为“操作系统”为条件作选择运算,得到C关系中课程名为操作系统的记录,然后再与SC(S#,C#,G)关系在以成绩G大于等于90为条件作选择运算,得到成绩大于等于90的记录,两者作自然连接运算,对运算结果在课号列作投影运算,再在学号列作一次投影运算,再在姓名列上用投影运算,得到选修课程名为“操作系统”的成绩在90分以上(含90分)的学生姓名。所以选项A正确。



